En el curso de Estática, los estudiantes dieron un paso clave en su formación como ingenieros: llevar los conceptos teóricos al análisis de estructuras reales. A través de proyectos finales presentados de manera clara, organizada y profesional, demostraron que entender fuerzas, equilibrio y geometría estructural va mucho más allá de resolver ejercicios en el cuaderno.
Siguiendo la rúbrica del proyecto, los equipos desarrollaron presentaciones formales en formato PDF, cuidando tanto el contenido técnico como el diseño visual, la redacción precisa y la coherencia entre análisis, resultados y conclusiones. El objetivo fue claro: comunicar correctamente el desarrollo, análisis y resultados del proyecto, tal como se exige en la práctica profesional.
Análisis estructural de una armadura tipo Howe
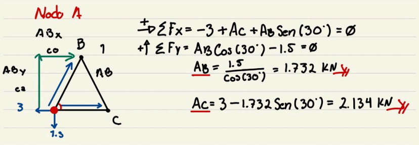
Uno de los proyectos destacados fue el análisis de una armadura tipo Howe aplicada a un techo de área pública, desarrollado por estudiantes de tercer semestre. El trabajo se centró en el uso del método de nodos, elaborando diagramas de cuerpo libre, ecuaciones de equilibrio y el cálculo de fuerzas internas en cada elemento de la estructura.
Además del análisis teórico, el equipo construyó una maqueta física, lo que permitió visualizar de forma tangible cómo trabajan los elementos a tracción y compresión, reforzando la comprensión del comportamiento estructural. Los resultados mostraron claramente la distribución de esfuerzos, la identificación de miembros críticos y la importancia de la geometría en la estabilidad de la armadura.


Puente peatonal tipo Warren: eficiencia y geometría en acción
Otro proyecto relevante fue el análisis de un puente peatonal tipo Warren, donde los estudiantes evaluaron la eficiencia estructural de este diseño ampliamente utilizado en ingeniería civil. A través de un enfoque analítico, se aplicaron cargas específicas y se resolvieron nodo por nodo las fuerzas internas, demostrando dominio del equilibrio estático.
El proyecto destacó por la claridad en el desarrollo matemático, el orden en la presentación de resultados y una reflexión crítica sobre las ventajas y limitaciones del modelo, reconociendo que el análisis fue teórico pero con alto valor formativo. Incluso, los estudiantes propusieron como mejora futura el uso de software especializado para simulaciones más avanzadas.


Más que un proyecto, una experiencia de ingeniería
Estos trabajos reflejan el verdadero propósito del curso de Estática: formar criterio ingenieril. No solo se resolvieron estructuras, se aprendió a explicar decisiones, justificar resultados y comunicar ideas técnicas de manera profesional.
Cuando la teoría se entiende, se analiza y se presenta con claridad, deja de ser solo un tema del plan de estudios y se convierte en una herramienta real para diseñar, evaluar y construir. Y eso —sin rodeos— es ingeniería bien hecha. 💪📐
Fuente: Trabajo de Alumnos
Ingeniería en Mecatrónica
Más noticias sobre Mecatrónica…

